利用連續流化學合成多替拉韋
人類免疫缺陷病毒 (HIV) 仍然是一項重大的全球公共衛生挑戰,迄今為止,世界上約有 3800 萬艾滋病毒感染者。美國食品和藥物管理局(FDA)批準了許多抗擊這一流行病的抗逆轉錄病毒藥物。 HIV 整合酶抑制劑 (INIs) 是最近批準的一類藥物,可干擾 HIV 整合酶并抑制其將病毒 DNA 插入人類基因組。 目前,FDA批準的整合酶抑制劑有五種。第一代整合酶抑制劑Raltegravir和elvitegravir,分別于2007年和2012年獲得批準,隨后新批準的按需第二代整合酶抑制劑dolutegravir(2013年)及其類似物bictegravir于2018年獲得批準,以及 cabotegravir,于 2021 年獲得批準。考慮到 INI 藥物的高需求,特別是世界衛生組織 (WHO) 目前推薦用于 HIV 起始抗逆轉錄病毒治療一線治療的多替拉韋及其即將到期的專利 ,他們的工藝研究引起了很多關注。
研究人員研究了一種用于合成多替拉韋(一種用于治療 HIV 的活性藥物成分 (API))的高效連續流程。 合成過程從易于獲得的芐基保護的吡喃開始,通過連續流動反應器進行六次化學轉化。 該流程的顯著優勢包括將總反應時間從批量的 34.5 小時減少到 14.5 分鐘。 通過流程優化,每個反應步驟的總產率顯著提高。 該合成的另一個關鍵特征是伸縮多個步驟。

圖1.多替拉韋1結構式


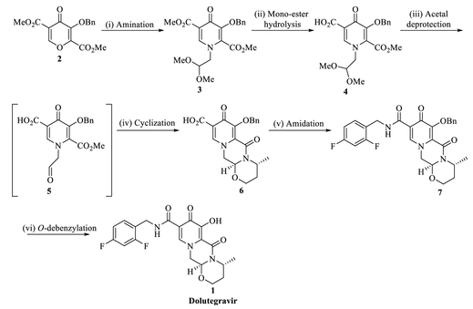
方案1.多替拉韋1的合成路線
通過市售起始材料芐基保護的吡喃,通過 6 個反應步驟成功開發了一種高效的連續流動程序,用于制備多替拉韋1。 據我們所知,尚無關于從吡喃連續流動合成該藥物的文獻。 總停留時間為 14.5 分鐘,通過 HPLC 檢測,每個步驟的產率在 71% 至 100% 之間,這與 35 小時的間歇過程相比有所改進,以較低的分離產率(至少為 33%)產生中間體。 本研究最顯著的特點是酰胺化反應,成功提出了一種使用偶聯試劑的新型連續流酰胺化方法。 可用的文獻報道的路線采用通過混合碳酸酐形成酰胺,其中羧酸與氯甲酸乙酯在N-甲基嗎啉作為堿存在下反應。 承認本次報告的流程程序是成功的; 然而,在本研究中,沒有使用氯甲酸乙酯。 成功證明了偶聯試劑庫的使用,其中使用 COMU 在最佳條件下使用微反應器在 25 °C 下的總停留時間為 1.5 分鐘內實現了多替拉韋苯甲基化酰胺中間體 7。 該過程的另一個關鍵特征是二酯 3 顯著選擇性單水解,得到吡啶酮酸 4。事實證明,使用 KOH 和甲醇時,可以在 100 °C、1 分鐘停留時間的最佳條件下合成該中間體 –水助溶劑。 重要的是,該化合物也是通過使用更便宜、更環保的堿 KOH 形成吡啶酮 4,從吡喃 3 進行多步合成而獲得的。 在總停留時間為 20 分鐘、溫度為 100 °C 的最佳條件下,所需的 4 達到了 85%。 可以說,這是一個相對較長的時間; 然而,與批量反應地完成這些步驟時的非常長的反應時間和較低的產率相比,這是一個很大的改進。 這進一步凸顯了連續流技術在可能無需重新優化的情況下開發多步驟工藝的優勢。 此外,還研究了所開發的流合成形成多替拉韋類似物卡博特韋的一般適應性。 經過一些精細研究,該程序可以作為一種替代方法,這將對全球這種按需抗逆轉錄病毒藥物的采購產生影響。 該方法可能適用于分別合成多替拉韋類似物卡博特拉韋和比克替拉韋。
Synthesis of Dolutegravir Exploiting Continuous Flow Chemistry (2023)
https://doi.org/10.1021/acs.joc.3c01365
MICROFLUTECH所發布的新聞資訊只作為知識提供,僅供各位業內人士參考和交流,不對其精確性及完整性做出保證。您不應以此取代自己的獨立判斷,因此任何信息所生之風險應自行承擔,與MICROFLUTECH無關。如有侵權,請聯系我們刪除!
-
連續流動中的光生物催化[2022-08-18]
-
酯交換反應[2021-02-24]
-
室溫流動電化學反應器中手性記憶[2021-03-20]
-
微通道反應器在臭氧化反應中的應用[2021-07-10]
-
連續流模式下對肥皂進行酶促處理:反應器配置和過程[2021-02-12]
-
抗癌藥物的連續流合成[2021-12-14]
-
流動化學系統主要組成部分[2022-04-12]
-
連續流反應器中的快速克萊森縮合反應優化[2023-10-08]
-
芳香化合物連續硝化應用進展[2022-02-14]
-
微通道連續流反應器在有機合成中優勢[2021-08-02]
-
連續流微通道反應器可以適用哪些聚合反應?[2023-08-28]
-
臭氧化反應在連續流微通道反應器中應用[2024-03-14]