在傳統納米材料制備的過程中,多數企業采用反應釜進行合成,得到的納米材料存在粒度大、粒徑分布寬以及批次差異大等缺點,加上傳統生產工藝復雜、自動化程度低等問題,各大廠家正尋求新的途徑提升產品質量以及自動化程度。
制藥行業一直是流動化學興起的主要推動力,有機合成一直是所有在流動化學設備上開展的研究工作重點。其他領域,例如生物燃料,石油化學和納米顆粒合成,也可以從這些相同的優勢中受益。
專門研究納米顆粒合成的公司和大學對連續流微通道反應器需求不斷增長。另外,關于納米顆粒,量子點和膠體金屬的連續形成的主題的出版物越來越多。
納米粒子的物理和化學特性,它們被廣泛應用于各個領域,導致對化學家提供可靠,大量高質量納米粒子的可靠供應的需求不斷增長。
其他化學方法來分批生產納米顆粒存在以下問題:混合中的不均勻性,老化的重要性,溫度難以精確控制以及批次之間的可重復性有問題。批處理過程通常取決于化學家的技能,而不僅取決于化學本身。(non-homogeneity in mixing, the importance of aging, the difficulty of accurate temperature control and questionable reproducibility from batch to batch)
流動化學具有許多優點,可幫助克服這些挑戰,特別是快速且可重現的混合,出色的溫度控制,進行加壓反應的能力,模塊化和易于放大。
連續流微通道反應器的優勢以及研發人員在納米材料合成方面的長期試驗研究,在利用微反應器制備納米材料領域積累了豐富的經驗,目前已在納米硫酸鋇、納米磷酸鐵、納米氧化鋅等產品合成方面取得了巨大的成功。
微流控納米顆粒藥物制造系統把生物活性物質DNA、RNA、蛋白等,包裝成納米顆粒,具有粒徑均一度高,批次可重復性,PDI低,包封率高,流速快,線性放大,無需摸索放大條件,操作簡單等優點,應用于納米藥物。
產品類型:脂質納米粒子、脂質體、多聚納米顆粒、微乳、無機/有機納米顆粒、納米級的懸浮液。
基于納米沉淀原理,開發了一種基于微反應器的連續過程,用于合成PMMA納米顆粒(NP)。
納米粒子可能的其他應用領域:消費品領域的熒光量子點,氧化鐵納米顆粒用于分離過程和靶向藥物釋放。
納米碳酸鈣
由于特殊的表面及量子物理性能,納米材料技術受到廣泛關注。而納米級的碳酸鈣由于其在精細化工領域有廣泛的應用而尤以為甚。
納米碳酸鈣具有超細、超純的特點,廣泛應用于橡膠、塑料、造紙、化學建材、油墨、涂料、密封膠與膠粘劑等行業。以涂料行業為例,針對涂料中使用填料和骨料的特點,相較于傳統的立德粉和鈦白粉,專用紡錘形納米碳酸鈣的粒子非常細小,與水完全潤濕,易于研磨和分散,有極強的吸附力,表面涂層光滑、色彩艷麗質感好,可取代市場價格昂貴且不穩定的鈦白粉。尤其在一些特殊填料的高級納米涂料配方調制中,可以降低基料粘合劑的用量,來降低成本,提高產品技術含量,開發和生產出更綠色環保的功能性涂料,獲得經濟效益。
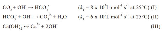
由于市場的需求量,目前,碳酸鈣的合成工藝主要由二氧化碳和氫氧化鈣的沉淀反應來制得。然而,這一工藝的合成過程中,分散、混合和傳質問題的研究一直存在不足。
二氧化碳和氫氧化鈣的沉淀反應是個非常快的反應,因此,如何更好地溶解二氧化碳氣體,就要求較高的混合及傳質效果。近年來,微反應器技術的興起引發了科學及工業界極大的興趣。研究中也通過不同的微通道設計以及工藝過程的優化很大程度上展現了在傳質上的優勢。
在碳酸鈣的沉淀過程中,過飽和比被定義為:

[Ca2+]為鈣離子濃度,[CO32-]為碳酸離子濃度,Ksp為溶解的碳酸鈣。
生成納米顆粒必須要很高的過飽和值,所以從公式中可以看出,[Ca2+]和[CO32-]的數值也要大。
該反應的反應機理:

從動力學角度來分析,碳酸氫根離子的生成和碳酸離子的生成都是快反應,氫氧化鈣也很容易分解,所以,體系中的鈣離子濃度是可以保證的。盡管整個反應過程非常之快,但是二氧化碳從氣相到液相之間的傳質是一個慢過程,混合過程決定了碳酸離子的濃度。所以,過飽和值主要由二氧化碳的傳質效率來決定。所以,相與相之間的混合以及二氧化碳的傳質對于納米碳酸鈣的制備非常關鍵,控制好傳質就能控制好納米顆粒度的大小范圍。
有文獻報道,有用微孔濾膜等方法進行納米碳酸鈣合成的成功案例,由于傳質和混合效率的加強,可以將納米顆粒的大小控制得非常好。研究表明,隨著二氧化碳通量密度的增加,生成的碳酸鈣的顆粒度大小隨之減小。與傳統的釜式反應相比較,通過有微孔結構的反應器可以顯著加強混合效果。通過調整和嘗試不同的體系流速,增加在微通道結構中流體的速度,從而大大減小分散相過程中的幾何級數,縮短傳質距離,在一定范圍內強化傳質效果。
對于納米碳酸鈣的合成,可以將事先配好的氫氧化鈣懸浮液泵入反應器,同時將二氧化碳氣體進料,康寧反應器可以以優于傳統釜式100倍的傳質效率來強化二氧化碳氣體在相之間的傳質與混合,達到非常好的體系過飽和值,從而更精準地控制納米顆粒的大小和粒徑分布,提高產品的純度。靈活的模塊化設計,可以快速對反應的停留時間、進料速度、PH值等參數的調節,來獲取不同的工藝參數,達到不同的工藝效果。
連續流微通道反應器對液液、氣液及氣液固等非均相體系有絕佳的混合效果,可以進行精準進料。和傳統的微通道反應器相比,由于通道尺寸多在微米級在納米材料的合成工藝過程中容易形成堵塞。
毫米級尺寸反應器的通道在可以處理粒徑大小<200微米的顆粒物,通道結構平滑,無死體積,使得其在納米材料合成領域大有作為。
納米顆粒合成中的精確反應控制
流化學系統的關鍵特性之一是其內部潤濕通道的直徑非常小,通常在0.3-1 mm的范圍內。這對微型反應器的混合質量和溫度控制都具有巨大影響。
系統的流動條件由雷諾數(Re)定義,即流體的平均粘度乘以特征尺寸再除以運動粘度。對于低雷諾數(低于4,000),流動條件是層流的;對于高雷諾數,它們是湍流的。在連續流化學系統中,通道尺寸導致雷諾數始終很小(通常<100),因此流態始終是層流的。
在層流條件下,混合受到擴散限制,并且速度極快。通常,在微反應器中,混合為約1-5秒。由于微型反應器的形狀不會改變,并且不涉及物理攪拌器,因此它的重現性也很高。
通過使用專門設計的微型反應器(稱為微型混合器芯片),混合時間甚至可以進一步減少到一秒鐘以下。這使得微混合器芯片成為納米顆粒合成方案的首選反應器,其中混合是關鍵參數。
微反應器通道的小直徑也意味著其表面體積比極高。這樣可實現出色的熱傳遞以及快速,有效的溫度控制和響應。不僅沒有間歇式反應器中看到的溫度梯度,而且任何放熱或吸熱都非常迅速地被吸收,從而在整個微反應器中保持了均勻的溫度。
Seeberger教授(Max Planck Institute of Colloids & Interfaces)及其同事在描述玻璃微反應器中連續量子點合成過程的論文中指出了精確控制實驗條件所起的關鍵作用。合成的量子點連續與使用類似的批處理方案所獲得的顆粒分布相比,Seeberger研究小組的流動具有更窄的顆粒分布。Fitzner及其同事在流動微反應器中制備膠體金也表明了這種趨勢。
鐵納米顆粒的連續合成中粒子的大小至關重要,因為它決定了其順磁特性。在微反應器中進行鐵納米顆粒合成可以實現超快速混合,隨后形成的精細磁性鐵納米粒子的質量和重現性均高于批量合成(batch synthesis)。
連續流動的過程靈活性
使用連續流化學系統制造納米顆粒的其他優點包括易于擴展,系統模塊化以及進行高壓反應和多步工藝的能力。
由注射泵,微反應器和壓力控制器組成的流化學系統是納米顆粒合成的良好起點。該系統將允許用戶進行一系列實驗以確定最佳反應條件。一旦確定了最佳的反應條件,就可以使用相同的設置連續懸浮液來合成數克的納米顆粒。
通過添加自動進樣器并通過軟件使系統自動化,系統的功能得以擴展,非常適合過程優化和研究反應參數。可以快速設置,自動運行一系列實驗,并分別收集所有樣品進行分析。Fitzner及其同事使用這種設置來研究反應溫度對膠體金粒度分布的影響。
使用背壓調節器還可以非常輕松,安全地對流化學系統進行加壓。這樣可以將溶劑加熱到沸點以上,這通常被稱為“過熱”,從而提高了反應動力學并創造了超快反應條件。最重要的是,對系統加壓可以最大程度地減少反應產生副產物氣體時可能發生的除氣效果(degassing effect)。
最后,微反應器和流動化學是多步工藝(通常稱為“伸縮合成--telescoping synthesis”)的理想選擇。通過簡單地將第一反應器的輸出連接到第二反應器的輸入,可以建立兩步反應。Seeberger的小組在其量子點工藝中利用了這種流化學優勢。首先,在微型反應器中形成鎘-硒納米顆粒,然后在第二個串聯的微型反應器中用硫化鋅覆蓋納米顆粒。此兩步反應作為一個連續過程進行,因此節省了時間和人工。
流動化學是一種有效的技術 優化反應及其大規模合成的研究。可以幫助納米顆粒工業的流化學的關鍵優勢包括出色的反應控制,靈活性和易于擴展。這些益處是如此重要,以至于在不久的將來,連續流可能會成為納米顆粒合成的選擇方法。
一、 應用案例
納米硫酸鋇

微反應制備納米硫酸鋇產品特點:
① 粒徑小,D90<50nm;
② 粒徑分布窄,接近正態分布;
③ 形貌規則,近球形。
納米磷酸鐵
納米磷酸鐵是電池正極材料磷酸鐵鋰的前驅體,納米磷酸鐵粒度的均勻性、壓實密度、Fe/P摩爾比等指標對鋰電池的電性能有著重要的影響。使用微反應器制備磷酸鐵能全面性的提高磷酸鐵鋰電池的電性能,且對比傳統釜式工藝,微反應器具有以下優勢:
① 設備體積小,減少廠房投入;
② 設備為靜設備,能耗低(僅靠計量泵提供動力),維護成本低;
③ 混合效率高,提高時空收率;
④ 產品品質可控,無批次差異;
⑤ 連續化生產,可實現自動化控制,節約人工成本。
納米氫氧化鎂:平均粒徑≤70nm,粒徑分布均一,且形貌規則,均為片狀。
納米氧化鋅
一定濃度的鋅鹽溶液和堿液通過計量泵按一定流量比例分別泵入微反應器,兩相物料在微通道內實現快速混合,完成反應過程,得到氫氧化鋅漿料,再經過洗滌分離、煅燒即可得到氧化鋅粉末。平均粒徑20-30nm;粒徑均一,形貌接近球形。
碳納米管催化劑
其它納米材料制備
三、微反應器制備納米材料優勢
對比傳統釜式工藝,微反應器制備納米材料具有以下優勢:
① 生成的納米材料粒度分布均勻、產品品質可控、無批次差異;
② 設備為靜設備、能耗低、操作維修簡單,降低維護成本;
③ 微反應混合效率高,物料在反應器里可以達到毫秒級混合;
⑤ 設備體積小且可以實現連續化生產,降低廠房投入以及人力成本。