抗癌藥物的連續流合成
藥物短缺仍然是 21 世紀的重大公共衛生問題。所有類型的藥物都受到這個問題的影響,例如抗癌藥物、抗菌藥物、鎮痛藥、阿片類藥物、心血管藥物、放射性藥物和注射劑產品。此外,這一全球性問題具有嚴重的經濟影響,并影響整個社會 。在抗癌藥物的背景下,由于患者情況不穩定,短缺更為嚴重,由于與其他藥物不兼容或成本較高等副作用,患者往往無法延遲治療或更換替代藥物 。單一藥物的短缺可能會對許多患者群體產生影響,因為同一種產品可能用于治療多種疾病。因此,避免藥物短缺以確保患者獲得盡可能高的存活率至關重要。
最近,FDA(食品和藥物管理局)和 EMA(歐洲藥品管理局)都發布了分析這種情況的更新報告。藥品短缺的原因有很多,例如制造和運輸問題或價格變化和原材料停產。由于生產和分銷網絡的中斷,持續的全球大流行已經導致幾種藥物的額外供應問題。由于生產過程中活性藥物成分 (API) 受到污染、生產能力問題,或者僅僅是由于無法生產與生產量一樣多的產品,藥物及其構建塊的供應有限也可能導致生產暫停或中斷。制造問題的產生是因為大多數制藥公司強烈依賴傳統的批處理和相關的供應網絡。在這種類型的不連續加工中,原料在大型容器中進行加工,在其中化學反應進行一定的時間,然后產品排出并最終提純(圖 1))。如果在此過程中出現問題,所有使用的材料都會受到影響,必須丟棄,從而損失大量化學品、金錢和生產時間,尤其是如果問題發生在合成的后期階段。即使生產過程順利進行,大部分時間也需要對粗品進行提純,從而使批處理過程耗時、勞動強度大且對環境不利。

圖 1. 逐步批量制造(頂部)和連續制造(底部)表示。
為了改進制造過程,化學工業已經開始采用更有利的新興技術,特別是連續流動化學,它允許對制造過程進行各種改進。在過去的 20 年里,越來越多的出版物證明了連續制造在工業應用中的積極影響,現在,連續流動加工被認為是制藥公司普遍歡迎的游戲規則改變者。
與批量制造相比,由于對反應條件(例如溫度、壓力和反應時間)的高度控制,連續制造提供了更高質量的產品和更少的批次間可變性。出于同樣的原因,流技術使得化學家容易地進行反應,這將是在批處理模式非常具有挑戰性的,因為極端條件下,如高和低溫度條件,高壓,高反應性和不穩定中間體的存在,以及大規模的光或電化學處理。該技術的模塊化特性和單個反應器組件的穩健性不僅提供了靈活性,而且有助于將流動反應器的應用擴展到不同的工業過程,從而減少生產鏈事故。此外,流動反應器系統的封閉環境提供了更安全的工作條件,防止操作員直接接觸危險化學品。小型設備需要更少的實驗室空間,由于出色的傳質和傳熱,反應器小型化本質上提高了反應質量。借助合適的過程分析技術 (PAT) 和純化模塊的集成,連續流過程可以伸縮和自動化,從而加快生產保持產品質量并提高產品吞吐量 。伸縮過程也改善了制造過程的綠色方面,因為反應產物在用于下一步之前不需要分離和儲存,而是可以直接流入下一個反應器 。
由于在批量路線上開發連續流動工藝可以利用許多優勢(圖 2),許多制藥公司一直在大力投資這項技術來生產精細化學品以及藥物及其前體。在這篇綜述中,我們希望強調在過去五年(2016-2021 年)中報告的重要抗癌藥物及其構建模塊的合成中使用的流程。

圖 2. 與工業應用相關的流動化學優勢總結。
流動模式下抗癌藥物的合成
洛莫司汀
Lomustine 是一種廣泛用于抗癌治療的亞硝基尿素種類,特別是用于治療中樞神經系統腫瘤、咽喉腫瘤、淋巴肉芽腫、霍奇金淋巴瘤、肺和胃腸道腫瘤。這種藥物作為 DNA 烷化劑,在體內產生氯乙基碳正離子和氨基甲酰化中間體。這些物種的主要細胞毒性作用是由于它們能夠通過鳥嘌呤的氧原子形成加合物,導致 DNA 交聯。這種加合物會干擾關鍵的細胞過程,例如通過細胞凋亡導致細胞死亡的 DNA 復制。
湯普森等人發表了一種以連續流動模式合成這種抗癌化合物的有趣方法。這涉及在不隔離中間體的情況下伸縮的兩步序列。使用解吸電噴霧電離質譜 (DESI-MS) 作為在線分析技術有利于優化過程,以評估溶劑、濃度和亞硝化試劑選擇對流動過程效率的影響。這種方法顯示了通過使用簡單的反應器設置和廉價的試劑來降低生產成本的潛力。將中間后處理集成到連續過程中的可能性進一步允許更快的路線。更重要的是,流動反應器技術提供的封閉系統意味著操作員不會接觸潛在有害的烷化劑,例如 1-氯-2-異氰酸酯 ( 2 ) 和環己基脲中間體3,從而提高了程序的安全性。
Diab 等人最近的努力。進一步研究了洛莫司汀連續合成的反應動力學,這為這些努力增加了進一步的價值。

方案1. 洛莫司汀的流動合成。
他莫昔芬
他莫昔芬(是一種用于治療乳腺癌的最廣泛的處方雌激素受體調節劑的一個,然而,它也發現在不育,男性乳房發育癥和其它病癥。典型的日劑量為 10 毫克,治療時間超過 5 年。由于對這種藥物的需求很大,因此提供有效的合成至關重要。
萊等人報道了一個連續流動的過程來產生 (E/Z)-他莫昔芬,結果很好]。初始流動反應涉及通過將 PhMgBr 添加到 Weinreb 酰胺5來制備酮原料 ( 8 ) (方案 2)。該連續工藝步驟僅在 6 小時內就以極好的收率 (97%) 提供了 40 克這種酮產品。盡管流出物流的純度非常高 (> 98%),但需要離線酸驟冷以分解金屬化四面體中間體7. 因此,酮的制備沒有與合成的其余部分重疊。需要注意的是,腐蝕性格氏試劑在使用背壓調節器的高溫下可以安全使用。

方案 2.從 Weinreb 酰胺5 連續流制備酮8。
接下來,設想在連續流動系統中進行四個順序轉換以生成 (E/Z)-他莫昔芬(方案 3)。該序列利用精心整合的七個全氟烷氧基 (PFA) 反應器線圈來執行合成的四個關鍵步驟:(a)在 -50 °C 的低溫反應器中芳基溴9 的鋰化,(b) 添加得到的芳基鋰物種( 10 )在 30°C 下生成酮8,(c)在室溫下使用三氟乙酸酐 (TFAA ) 活化鋰醇鹽中間體 ( 11 ),以及 (d) 在 100°C 下堿介導的消除。該程序產生他莫昔芬(12) 具有 9.35 g/h 的出色生產率,相當于每 5 秒每天服用一劑。值得注意的是,批處理不會提供在這種連續路線中利用的輕松改變溫度的靈活性。此外,連續系統提供對反應條件的精細控制,最大限度地減少副產物的形成,同時最大限度地提高生產率和產品質量。

方案 3. 通過連續過程合成 (E/Z)-他莫昔芬。
伊馬替尼
伊馬替尼是市售抗癌藥物格列衛的活性API ?。它用于慢性髓細胞性白血病和胃腸道間質瘤。批量生產依賴于勞動密集型和耗時的多步驟序列 。
Jamison 及其同事展示了一種以連續方式使用現成的構建塊合成這種藥物的有效策略 。受到 Ley 小組在 2010 年發表的工作的啟發,他們的方法預見了三個戰略步驟:(a) 腈的水合,(b) 化學選擇性酰胺化,和 (c) CN 交叉偶聯。
這三個合成步驟被整合到一個單一的流程中,不需要在線純化、溶劑轉換或填充床設備,這與 Ley 小組報告的工作不同。
合成伊馬替尼的伸縮過程如圖4所示。

方案 4. 伊馬替尼的連續流動合成
在第一個不銹鋼反應器盤管中,腈原料通過使用 Cs 2 CO 3的水合反應快速轉化為相應的酰胺中間體。這種高溫過程產生了一種干凈的酰胺中間體,從而減少了純化的需要。在進入第二盤管之前,反應流與芳基鹵化物和Pd-預催化劑的溶液以及K 3 PO 4的水溶液混合。三種不混溶的流在具有小內徑 (0.02" id) 的交叉混合器中混合,形成近乎均勻的混合物(圖 3)) 能夠改善有機相和水相之間的界面接觸。

圖 3. ( a ) 小直徑交叉混合器產生的近均質混合物;( b ) 雙相混合物的典型分段流動。
然后將中間體16與氨基-嘧啶17和先前使用的 Pd 催化劑組合以在最后的高溫反應器盤管中進行最終的 CN 交叉偶聯。仔細優化濃度和溶劑系統可有效避免鹽的沉淀,否則會導致反應器堵塞。
伊馬替尼的分離率為 58%,總停留時間為 48 分鐘,產生 327 毫克/小時的這種藥物,相當于 12 小時內幾乎 4 克 API。使用相同的方法合成伊馬替尼類似物。這種伸縮流方法成功的關鍵是優化單個流速、試劑化學計量以及每個流的濃度,以確保高反應性,而不會因沉淀和反應器結垢而出現問題。此外,使用背壓調節器(BPR,13.8 bar)可以使基于二惡烷的溶劑系統過熱,從而加速反應動力學并提高過程的產率。
HSN608
HSN608 是Fms樣酪氨酸激酶 3 (FLT-3)的新型有效抑制劑,FLT-3 是一種在急性髓性白血病 (AML) 患者中過度表達的蛋白質。
報道的批量合成有幾個缺點,例如催化劑負載量高、產率低、反應時間長,以及使用潛在爆炸性偶聯劑 (HATU),這在大規模批量合成中是一個問題。
Thompson 等人選擇將報道的批量合成轉化為連續流動方法(方案 5)。這是一個有價值的目標,可以產生足夠的材料來支持體內實驗,這是進一步開發這種新型抗癌藥物候選物所必需的。

方案 5. HSN 608 的連續流動合成。
所選擇的方法利用實驗設計 (DoE) 和高通量實驗 (HTE) 的使用,并結合 DESI-MS 作為快速表征技術。整合這些使能技術有助于優化流程,以便全面了解潛在的副產品,以實現隨后的最小化。
第一階段涉及流動模式下酰胺偶聯的 DoE。基于批量和流動實驗,確定了安全使用不穩定且可能爆炸的酰胺化試劑 HATU 的最有利條件。從 DoE 優化過程中獲得的信息(圖 4)導致在僅 20 分鐘的短停留時間內以非常好的產率 (86%) 合成所需的酰胺中間體。

圖 4. 利用 DoE 的酰胺化步驟的優化過程
接下來,使用 DoE/HTE 實驗與 DESI-MS 相結合,尋找適合 Sonogashira 與芳基溴21偶聯反應的條件,以對所需的反應產物進行即時定量(圖 5)。實驗在單個 DESI-MS 板中進行,以產生 300 多個獨特的數據點。這提供了關于堿、溶劑和溫度的最佳選擇的信息,另外還有助于確定最終產品生產中的限速步驟。

圖 5. 基于高通量 DESI-MS 的實驗的一般工作流程
然后,這兩個反應成功地伸縮,導致目標藥物以良好的產率 (54%)快速合成。這種微反應器方法(體積為 20 μL)能夠在 12 小時內生成近 100 mg 的產品,同時在優化過程中消耗非常少量的反應物。更大的流動反應器可用于提供克量的候選藥物以供進一步探索。
Prexasertib
Prexasertib是檢查點激酶 1 (CHK1) 的抑制劑,這是一種參與 DNA 復制和受損 DNA 修復的蛋白質。正在研究 prexasertib 治療急性髓系白血病、骨髓增生異常綜合征、橫紋肌肉瘤和髓母細胞瘤的療效。由于低口服生物利用度,藥物經由輸注。為了使藥物更易溶于水,一個團隊采用半連續工藝生產所需的28 單乳酸鹽。
合成策略包括七個步驟,其中最后四個在連續流動模式下進行(方案 6)。八個連續的單元操作被集成到這個流程中,每天生產三公斤的目標。

方案 6. prexasertib 單乳酸酯一水合物的半連續合成
從苯乙酮開始,以分批模式制備高級構建塊 。然后通過肼介導的高溫縮合反應將該材料轉化為吡唑。鑒于與有害且不穩定的肼試劑相關的安全問題,該步驟要求利用流動處理。在封閉式流動反應器系統中進行該合成的后半部分的另一個優點是,在任何給定時間只處理少量化學品,并且操作員不與中間體以及最終藥物接觸,這些中間體的效力細胞毒劑會帶來很大的風險。
這種基于流量的策略的一個基本方面是過程分析技術 (PAT) 的集成,例如 HPLC 或 DSC。在線分析在自動化流動系統以及由此帶來的好處很多報道了至關重要的作用可以在文獻中找到。
隨后,作為流動過程的一部分,使用甲酸以及鹽交換(甲酸鹽到乳酸鹽)對產物26進行 Boc 基團去除。目標28 的最終純化是通過已經建立的批處理協議實現的。通過使用這種用于小批量連續 (SVC) 制造的集成連續工藝,作者成功地生產了 24 kg 的 prexasertib 單乳酸一水合物 ( 28 ) 用于臨床試驗。
Liu 等人最近報道了有關自動獲取 prexasertib 和各種類似物的其他研究。概述了對這些目標的固相輔助合成的利用。
美瑞替尼
Merestinib 是正在開發的一種實驗性抗癌藥物。它被研究用于治療晚期膽道癌、非小細胞肺癌和實體瘤。由于已知的潛在基因毒性雜質 (GTI),藥物的批量合成存在風險。
最近,Eli Lilly)研究實驗室的小分子設計和開發部門發布了一項 20 公斤的演示活動,描述了該藥物的連續制造 (CM) 和小體積連續 (SVC) 工藝開發的驅動因素,強調了在此過程中遇到的各種優勢和挑戰。
合成路線如Scheme 7所示。Cziesla 等人以前的工作為開發連續路線奠定了基礎,該路線需要包括有效的雜質控制策略。

方案7. 通過連續工藝合成美瑞替尼的合成路線。
卡培他濱
卡培他濱 是一種廣譜抗癌劑,用于治療轉移性結直腸癌,并作為大腸結腸癌和轉移性晚期乳腺癌的輔助治療。作為前藥,活性化合物 5-氟胞苷通過氨基甲酸酯的酶促裂解釋放并抑制腫瘤細胞的生長。
卡培他濱的分批合成通常需要較長的反應時間和大量的路易斯酸(例如,SnCl 4)。此外,批處理過程涉及重復的水提取和其他純化,這是不可取的,因為它會產生大量廢物。
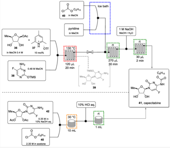
2012 年,Jamison 和 Shen 報告了一種更環保的方法,該方法涉及一個連續過程(方案 8)[ 84 ]。在初步優化工作后,使用小型 PFA 管式微反應器(120 μL 體積)僅在 20 分鐘反應時間內實現了5-脫氧核糖(36)和相應的甲硅烷基化胸腺嘧啶衍生物(38)之間的 Vorbrüggen 糖基化反應。排出的反應混合物被導入第二個反應器,在那里通過引入氯甲酸戊酯發生氨基甲酰化。在初始反應期間用作糖部分保護基團的乙酰基最終在第三個反應器中使用 NaOH 在 MeOH/H 2 中的溶液去除O. 與批處理程序相比,這種三步流程方案在不到 1 小時的時間內以明顯更環保、更有效的方式提供了 72% 的卡培他濱。

方案 8. Jamison 報道的卡培他濱的連續流動合成(上)。De M. Miranda 報道的相同藥物的連續流動合成(底部)。
2019 年,De M. Miranda 等證明了針對該抗癌目標的氨基甲酰化/脫保護步驟的進一步改進。從市售的 2',3'-二乙酰氧基-5'-脫氧-5-氟胞苷(42,方案 8底部)作為高級中間體開始,在 Schotten-Baumann 條件下引入氨基甲酸酯,從而避免使用乙腈和吡啶堿. 此外,堿水溶液的使用觸發了該順序中的脫乙酰反應。優化后,卡培他濱以81%的產率在流動中生成,反應時間僅為30分鐘。
4-氟-2-甲氧基-5-硝基苯胺作為奧希替尼的構建塊
4-氟-2-甲氧基-5-硝基苯胺 ( 45 ) 是奧希替尼 ( 46 )的核心組成部分,以 Tagrisso ?品牌銷售。這種抗癌藥物是由阿斯利康發現和開發的表皮生長因子受體 (EGRF) 的口服活性不可逆抑制劑。用于EGFR致敏突變的局部晚期或轉移性非小細胞肺癌(NSCLC)患者的一線治療,以及EGFR T790M突變陽性NSCLC患者在EGFR治療期間或之后進展的治療-TKI 療法。在美國推薦劑量為每日一次[采取一個80毫克的片劑。
這種特定結構單元的合成基于其前體 4-氟-2-甲氧基苯胺 ( 43 )的硝化作用。由于強氧化性物質 (HNO 3 ) 的存在和所涉及的反應中間體的爆炸性,硝化反應是危險的放熱轉化。因此,硝化反應難以擴大規模,從而在藥物合成中產生瓶頸 [ 89 ]。除了安全問題之外,這種類型的反應導致特別具有挑戰性的批量合成,因為需要控制兩個非常重要的方面:傳熱和傳質。
這些考慮引發了 Kappe 小組的研究 [ 90 ],他們隨后開發了更安全的流動模式硝化步驟方法。所得流程如方案9所示。第一步涉及氨基的乙酰化(保護)以避免硝化過程中的副反應。在此之后,目標是在芳環上受控引入硝基。
進一步調整實驗條件導致合成乙酰化結構單元,其產量高達 2 mol/h,過濾和干燥后純度 > 99%。

方案 9. 用于生成硝基產物45 的連續流方法。
(R)-3-[1-(2,6-Dichloro-3-fluorophenyl)ethoxy]-pyridin-2-amine 作為克唑替尼的基石
Crizotinib 是 ATP 競爭性多靶點蛋白激酶和 ALK/c-MET/ROS 的抑制劑。它目前被認為是晚期間變性淋巴瘤激酶 (ALK) 陽性非小細胞肺癌 (NSCLC) 的最佳治療方法之一 。該藥物的合成需要還原硝基,這被認為是其合成的瓶頸。
由于競爭性副反應如脫芐和脫鹵,鹵素取代的芳環中的硝基還原通常具有挑戰性。從這些反應中產生的雜質很難從所需的還原產物中去除,而且需要溫和和選擇性的硝基還原方案。分批使用金屬催化的氫化反應可能很麻煩,因為催化劑可能易燃,并且通過過濾將其去除可能很繁瑣。為了解決這些問題,Su等人為這一步提出了一種連續流動的方法。在這項工作中,作者展示了填充 Raney-Ni 的填充床反應器的開發,用于選擇性硝基還原化合物47,它是克唑替尼合成中的戰略中間體(方案 10)。

方案 10.使用填充床連續流反應器 合成構件
優化后,可以在 Ra-Ni 反應器中僅 6 秒的停留時間內轉化 1 kg 的起始材料47。盡管底物濃度低(DCM 中為 120 mg/L),但這種短接觸時間提供了高通量,并且低壓 (30 psi) 和溫度 (25 °C) 提高了工藝安全性。這種加氫過程的化學選擇性非常高,避免了挑戰下游分離的必要性。事實上,產品48的退出溶液的優異純度曲線意味著它可以不經純化用于下一步合成步驟。此外,與批次替代品相比,所用催化劑的量也明顯減少。將催化劑固定在易于獲得的 HPLC 柱中,無需過濾,從而進一步提高了工藝的綠色度。
(S)-7-((叔丁基二苯基甲硅烷基)氧基)hept-1-yn-4-ol 作為艾日布林的中間體
甲磺酸艾日布林(53,圖 8),目前由衛材以 Halaven ?品牌銷售,是一種合成的非紫杉烷微管抑制劑,用于治療轉移性乳腺癌。抗微管劑在分裂的某個階段攻擊細胞,因此被認為是細胞周期特異性的。它的結構是與軟海綿素B,一個復雜的海洋天然產物具有有效的細胞毒活性。

圖 8. 甲磺酸艾日布林 ( 53 ) 及其結構單元52和 (S) -50 的結構。
四氫呋喃衍生物52是制備甲磺酸艾日布林的關鍵組成部分。該材料可由對映異構純醇(S) -50制備(方案11 )。(S) -50 的大規模生成是一項具有挑戰性的任務,因為工業合成必須盡可能避免使用有毒且昂貴的金屬催化劑來生成光學純材料。必須考慮由于將過渡金屬去除到 ppm 水平而導致的其他問題。通過手性色譜分離外消旋產物在規模上是不可行的。然而,最近的大量工作強調了使用酶以連續方式動態解析外消旋體的可能性。

方案 11.使用填充床反應器 合成結構單元 (S) - 50 vis flow 工藝
為了提供一種更環保、更有效的合成醇 (S) -50 的策略,Ghosh 等人。[ 101 ] 開發了流動模式下外消旋混合物的酶促拆分。
外消旋醇50以分批模式制備,允許對不同酶進行廣泛篩選。因此,選擇熒光假單胞菌的脂肪酶進行進一步研究,因為它具有高選擇性、穩健性和成本效益。在合成中使用酶通常很有吸引力,因為它在水性溶劑系統中使用溫和的反應條件。在流動模式下進行這種轉化提供了與更好的傳質相關的進一步改進。生物催化劑的固定化可以避免與生物催化劑穩定性、酶活性損失以及通過過濾進行簡單回收相關的問題。
因此,外消旋物50和醋酸乙烯酯之間的酶促反應在由兩個串聯柱(尺寸 250 mm × 4 mm)組成的填充床反應器中進行。填充床中酶的總重量為 3.6 g,反應器連續使用一周,生產率沒有顯著變化。該系統以優異的產率 (96%) 和高對映體純度 (>99% ee)提供 (S) -50作為乙酸鹽。(R)-對映體由此通過Mitsunobu反應相互轉化為其對映體,從而允許使用所有材料來生成結構單元52。本報告還進行了放大實驗,通過連續加工提供 300 克產品。
甲磺酸艾日布林化學結構的復雜性以及與大規模生產這種抗癌藥物相關的合成挑戰也導致了關于使用流動化學的進一步報道。具體而言,衛材的研究人員已經公開了有關在合成該靶標時安全使用 DIBAL-H 和n BuLi 的研究 [ 102 ]。考慮到與規模化低溫反應相關的成本,這里的重點轉移到利用流動處理已知的極好的傳熱來在比類似的批量轉化更高的溫度下使用這些試劑。
如方案 12所示,流動處理允許在 -50 °C 的溫度下進行酯54的 DIBAL-H 還原,而在分批模式下,需要 -70 °C 的溫度以最小化醛的過度還原產品55 . 隨后在低溫下使用正丁基鋰作為堿將醛55用于與砜56的偶聯反應。在此步驟中使用流動處理允許使用 10 °C 的溫度(與批次中的 -70 °C 相比),同時實現更高的產品轉化率57。

方案 12. 在低溫反應中對產物55和57的流動處理的有利使用
用于合成 AMG 39 的后期甲基化
AMG 397 ( 60 ) 是一種復雜的大環結構,由安進公司開發,目前處于第一階段研究。它已顯示出作為 Mcl-1 抑制劑的有希望的抗癌活性,使其可用于治療多發性骨髓瘤 (MM) 和急性髓性白血病 (AML) 。由于其結構的復雜性,這種潛在藥物的合成具有挑戰性,涉及 40 多個步驟。這種復雜結構的后期功能化反應特別具有挑戰性,因此溫和的化學選擇性轉化在完成目標的合成中起著至關重要的作用。
然而,在分批過程中,AMG 397 合成所需的最終甲基化步驟導致了產物的過度甲基化(即在哌嗪部分),導致最終 API 的分離產率低,同時存在分離困難。此外,批次間的可變性意味著底物轉化率和產品選擇性不一致,導致缺乏工業過程所需的穩健性。為了克服這些問題,Amgen 的科學家開發了一種流動方法,用于將叔醇前體 ( 58 )選擇性甲基化為最終的 API ( 60 )(方案 13)。

方案 13. AMG 397 合成中甲基化步驟的 CSTR 方法。
優化的程序利用連續攪拌釜反應器 (CSTR)通過快速添加 KHDMS 作為堿來實現叔醇和58 中存在的酰胺的去質子化。然后通過添加MeI將所得復鹽59甲基化。由于該反應中涉及鹽,因此將標準活塞流反應器內沉淀的可能性降至最低是至關重要的。因此,CSTR 串聯連接,允許處理 100 克基材而不會出現堵塞問題。這種方法在分離后以 76% 的高產率和非常高的純度提供了所需的目標。
連續過程的實施能夠使基材58快速和完全去質子化,而不會分解起始材料。對試劑輸送和停留時間的精確控制進一步減輕了過度甲基化的問題,從而提高了整個過程的質量。最后從乙酸和乙醇水溶液中重結晶得到純度 >98% 的最終 API,產率 75%。
結論
流動化學在開發抗癌藥物的有效合成方面發揮了重要作用。流動反應器中小型化的優勢可以改善傳熱和傳質,通常被用來為各種轉化獲得更好的過程控制和選擇性。這已被學術和工業實驗室證明,用于抗癌藥物的伸縮流合成,以生成概念驗證案例研究或用于在短時間內制備數克數量的這些抗癌藥物及其構建塊。因此通過延長處理時間或應用橫向擴展原則(即,使用更大的反應器)來常規地探索放大。最近的趨勢是在批處理路線中特別具有挑戰性的步驟中開發流動技術。在過去幾年中報告的案例研究明顯增加,這表明流動處理不僅作為一種使能技術成熟此外,還被制藥行業的科學家和管理人員所接受和認可。預計該領域的活動將進一步增加,以實現 API 生產的進一步自主,以應對當前大流行期間許多藥物出現的延誤和短缺。因此,預計連續流動處理將為這些重要藥物的供應提供動力。
Continuous Flow Synthesis of Anticancer Drugs
https://doi.org/10.3390/molecules26226992
MICROFLUTECH所發布的新聞資訊只作為知識提供,僅供各位業內人士參考和交流,不對其精確性及完整性做出保證。您不應以此取代自己的獨立判斷,因此任何信息所生之風險應自行承擔,與MICROFLUTECH無關。如有侵權,請聯系我們刪除!