二甲戊靈重要中間體連續流制備
二甲戊靈(N-(1-乙基丙基)-2,6-二硝基-3,4-二甲基苯胺)是美國氰胺公司(現德國巴斯夫公司)開發的旱田除草劑,屬于苯胺類除草劑,又名除草通、除芽通、施田補、為觸殺型土壤封閉處理劑,主要抑制分生組織細胞分裂,不影響雜草種子的萌發,而是在雜草種子的萌發過程中幼芽、莖和根吸收藥后期作用。雙子葉植物吸收部分為下胚軸、單子葉植物為幼芽,其受害癥狀是幼芽和次生根生長被抑制。該產品殺草譜廣,對多種一年生雜草有良好的防效。
二硝基苯胺衍生物是一類重要的化合物,在除草劑和農藥中有著廣泛的應用。二甲戊靈屬二硝基苯胺類除草劑,易溶于氯代烴及芳香烴類溶劑,對酸、堿穩定,不易光解。主要抑制分生組織細胞分裂,不影響雜草種子萌發,而是在雜草種子萌發過程中幼芽、莖和根吸收藥劑后起作用。二甲戊靈能有效地抑制煙草的腋芽發生,提高煙葉的產量和改善品質。
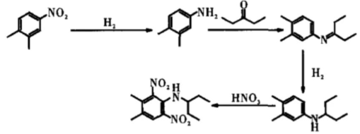
二甲戊靈的合成主要有三條路線,一是 3,4-二甲基硝基苯路線;二是3,4-二甲基鹵苯路線;三是3,4-二甲基苯酚(醚)路線。
3,4- 二甲基硝基苯路線合成,如下圖:

3,4-二甲基硝基苯合成路線上會產生大量的高毒性副產物,從而導致產物收率下降,增加生產的成本,同時該副產物容易誘突變,而且難以降解。此外,該工藝生產中硝化和精制兩步工序還會產生大量酸性廢水,該廢水可生化性較差,也難以處理和降解,會嚴重污染環境。
3,4-二甲基鹵苯路線合成路線只能得到粗產品,還需要進一步精制純化,這也會導致成本較高。而且在硝化時,由于鹵原子定位能力弱,硝基定位力強,硝化選擇性差,二硝基物會生成三種異體;此外,鹵原子對苯環鈍化,二硝化需要使用大量混酸,同樣會導致環境污染。
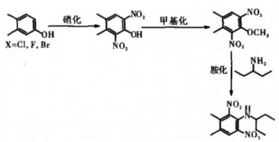
3,4- 二甲基苯酚( 醚) 路線,如下圖:

3,4-二甲基苯酚(醚)合成路線,是一種無N亞硝胺產生的新合成方法。該路線反應主要以3,4-二甲基苯酚為原料,經硝化、甲基化、胺化三步反應,得到二甲戊靈。然而該路線中中間體2,6-二硝基-3,4-二甲基苯酚的合成比較困難。因為酚類在硝化時極易被氧化,形成粘稠油狀物,難以分離,反應硝化選擇性不高,所以其反應收率不高。這是使用傳統釜式工藝合成該中間體一直存在的問題。但是,隨著連續流技術的不斷發展,利用連續流工藝合成該中間體就可以從根本上解決這些問題,這也讓第三種線路成為目前合成二甲戊靈最優的方法。
二甲戊靈作為世界上銷量最大的選擇性除草劑,其合成方法已經受到了廣泛的研究與注意,在克服中間體2,6-二硝基-3,4-二甲基苯酚制備困難的問題后,以3,4-二甲基苯酚為起始原料的胺化法制備二甲戊靈的路線也變得容易和方便了。一步二硝化法可在連續流動微反應器中實現,且不需要分離中間體,同時能消除強放熱等風險。在相同條件下進行一步二硝化的間歇反應器是不可能的或非常危險的,因為其傳熱傳質能力低,反應體積相對較大。因此,微反應器為苯胺衍生物的連續選擇性一步二硝化提供了巨大的前景。
MICROFLUTECH所發布的新聞資訊只作為知識提供,僅供各位業內人士參考和交流,不對其精確性及完整性做出保證。您不應以此取代自己的獨立判斷,因此任何信息所生之風險應自行承擔,與MICROFLUTECH無關。如有侵權,請聯系我們刪除!