重氮化反應在農藥和染料中的應用案例
對于傳統思維,在合成路線選擇的時候,危險的中間體或者產物在反應溫度下不穩定的情況往往都是極力避免的。而使用微通道反應器之后,我們就不需要有這樣的禁忌。
微通道反應器持液量少,與傳統反應釜相比,具有本質安全等特性。一些熟知有危險中間體參與的反應,比如重氮甲烷,重氮化合物,疊氮化合物都可以直接在微通道反應器上使用。
案例1. 二氟甲基重氮甲烷的制備和應用
最近,烏克蘭基輔國立塔拉斯-舍甫琴科大學及化學品供應商Enamine的Pavel K. Mykhailiuk成功制備了一種二氟甲基化新試劑——二氟甲基重氮甲烷(CF2HCH=N2),并發表在《Angew. Chem. Int. Ed.》上。
該試劑一經合成,就引起了研究者的廣泛關注,包括農業化學品公司,他們很樂意將這種試劑用于農藥化學品的合成中。

二氟甲基重氮甲烷和三氟甲基重氮甲烷一樣,是一種具有潛在毒性的爆炸性氣體,研究人員還沒有想到辦法來安全地使用它。40多年來,化學家們一直試圖制備并能安全地使用這種化合物,但卻一直沒有成功,直到Mykhailiuk這一研究成果的問世。
Mykhailiuk發現,在氯仿溶劑中加入二氟乙胺和亞硝酸叔丁酯以及催化量的乙酸,回流十分鐘就能得到一種新試劑。這種一鍋法不需要使用催化劑,也不需要分離危險試劑,大大降低了其風險性。由于重氮甲烷類化合物易燃易爆,所以還是有一定的風險。
然而,這類化合物假如使用微反應器來進行現場制備,由于其不需要分離,不僅可以現制現用,而且反應的持液量低,其風險可以得到數量級的降低。
總部設在瑞士的Syngenta Crop Protection(先正達)的殺蟲劑研發負責人Guillaume Berthon說,“這種全新的氟化重氮烷在合成化學中非常有用,雖然我們經常在新藥研發以及結構優化中引入含有三氟甲基的雜環,卻很少研究相應的二氟甲基雜環,這一新的發現可能會帶來令人驚訝的新活性和新性質。比如它可以用于制備Syngenta在2011年推出殺菌劑isopyrazam(吡唑萘菌胺),該化合物用于可以控制小麥、香蕉和其它農作物病害。

Mykhailiuk以吡唑類化合物為合成目標,因為它們是Syngenta(先正達)、Bayer(拜耳)以及BASF(巴斯夫)商業農藥的結構核心。Mykhailiuk相信這種新試劑也能有助于合成二氟甲基取代的環丙烷類、酮類、硼酸類化合物,以及其它有機合成中常見的中間體。
案例2. 微反應器在染料合成中的應用
偶氮化合物是一類很重要的染料,大約占染料總數量的70%。然而,由于這個反應是強放熱反應,在釜式反應中需要的時間很長,導致偶氮化合物分解,降低了收率。另外,由于批與批之間操作的時間和滴加速度不一致,會導致產品質量不一致,從而產生色差。
 
 
重氮偶合反應
利用微通道反應器可以充分解決這些問題,比如強換熱,精確控制反應時間,充分保障產品質量。文獻報道了這類反應在微通道中的應用,取得了很好的效果。
裝置示意圖:

研究的底物:
該文獻研究了6個底物,有不同的反應類型,比如含-OH的,含N烷基的等。

結果:
從文獻的結果來看,雖熱底物不一樣,合成方法也有不少差別,然而總體的收率都比較高。這說明了使用微通道反應器合成偶氮化合有很強的普適性。

優化數據:
停留時間的影響:從結果來看,停留時間極短,有的底物只要1S反應時間。如此快的反應也只有微通道反應器能很好地進行控制。
溫度的影響:反應釜進行該類反應,一般要在0-5度,而微通道具有很廣的范圍,即使到20度,收率也比較高。這在生產中可以大大節省能耗。
pH值的影響:從結果來看,PH對收率的影響很大,這是由于該反應的本質特點決定的。
參考文獻:Chemical Engineering and Processing (DIO:10.1016 / j.cep. 2018 .03.014)
案例3. 重氮化及重氮耦合連續流合成唑草胺關鍵中間體
唑草胺是由日本中外制藥研制出的除草劑,因其能抑制脂肪酸延長酶的活性,阻斷長鏈脂肪酸的合成,可防除稻田大多數一年生與多年生闊葉雜草,如稗草、鴨舌草等,對稗草有特效,是一種較為廣泛使用且毒性較低的有效農藥。
傳統工藝介紹:
3-(mesitylthio)-1H-1,2,4-triazole是合成唑草胺的關鍵中間體。現有的文獻中,合成該關鍵中間體合成主要有以下三種方案。

唑草胺關鍵中間體的傳統合成方法
第一種方案總的來說,具有很好的轉化率,但是由于反應為固液兩相反應,攪拌不充分,反應時間比較長,碳酸鉀的用量較大。
第二種方案收率不錯,但使用重金屬催化,后續的廢水處理和產品的檢測帶來很多麻煩,環境不友好。
第三種方案和前兩種相比,無論在收率還是在操作上都沒有優勢,尤其是反應中產生的重氮鹽穩定性差,容易分解,稍有不慎就有可能發生爆炸,引發事故。
在如今環保和安全形勢嚴峻的情況下,對其工藝的改進,降低安全風險的同時又能很好地得到產品是具有重大意義的。
連續流工藝簡述:
近年來,連續流微通道反應備受學術界及工業界的關注。和傳統間歇釜工藝相比較,連續流技術具有許多優勢。
近日,浙江工業大學的研究人員在OPRD上發表了一篇文章(DOI: 10.1021 / acs. oprd. 8b00362)介紹了唑草胺關鍵中間體的連續流合成。
考慮到合成3-(mesitylthio)-1H-1,2,4-triazole是由兩步反應串聯而成的,同時兼顧連續流工藝的特點,所以研究人員嘗試對傳統第三種方案進行優化,首先需要對第一步-制備重氮鹽做出系統地研究然后再研究脫重氮基反應。

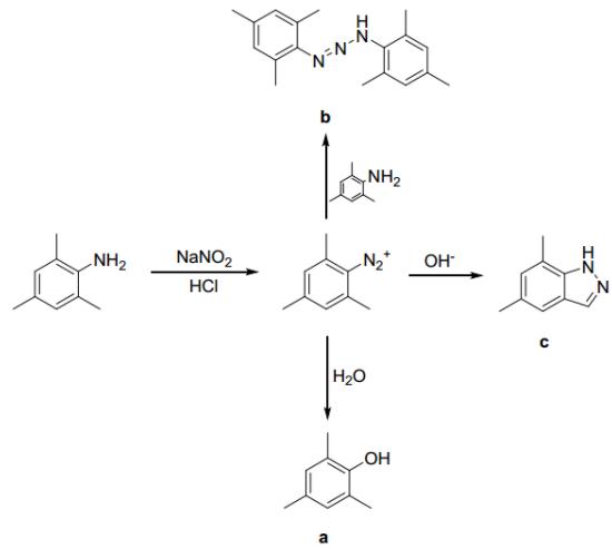
反應過程副產物產生原因分析
進行連續流工藝優化前,研究人員研究了釜式反應的工藝,并作出了合理解釋及解決思路。他們認為產生的副反應來自下列原因:產生的重氮鹽大量的堆積,加上溫度低,重氮鹽析出不能充分和底物接觸,進而產生競爭反應,生成副產物(a,b)。溶液的pH值過高導致苯環上甲基被活化從而產出雜質c。

產物的可能合成機理
作者認為:
1)微通道連續流反應器可以精準控溫物料參數,溫度不會有很大的波動。
2)同時產生的重氮鹽隨反應液流出,沒有返混過程,所以連續流工藝有機會避免副反應的產生。
3)對于NaOH的用量,可以精準進料,在工藝優化過程中可以優化出最為理想的堿濃度。
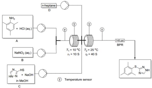
在這樣的設想下,研究團隊展開了連續流工藝的優化。他們設計了工藝流程,對每一步的參數都做了細細研究,最終得到了令人滿意的結果。

連續流工藝流程示意圖
研究結果顯示,在兩步連續的情況下,總反應停留時間為50秒,反應溫度分別為10℃和25℃,反應收率可達85%,產物純度98%。連續流工藝和釜式工藝相比,不僅縮短了反應時間、提高了反應收率、產品的純度、很好地避免了副反應的產生(表1),更重要的是大大提高了工藝的安全性。

表1. 連續流和釜式工藝結果對比
從雜質的產生來看,連續流工藝具有明顯的優勢,如下圖所示。

不同工藝雜質含量對比
實驗總結:
該重氮化及重氮偶合反應可以在連續流微反應器中順利實現;
反應過程連續化,易于操作和放大,且過程安全性大大提升;
和傳統釜式反應比,反應時間短、收率高、雜質含量低,是一種較為綠色化的合成工藝。
參考文獻:DOI: 10.1021 / acs. oprd. 8b00362
MICROFLUTECH所發布的新聞資訊只作為知識提供,僅供各位業內人士參考和交流,不對其精確性及完整性做出保證。您不應以此取代自己的獨立判斷,因此任何信息所生之風險應自行承擔,與MICROFLUTECH無關。如有侵權,請聯系我們刪除!