納米顆粒工藝:微反技術應用于納米碳酸鈣的合成

碳酸鈣(CaCO 3)是最豐富的礦物質之一,在許多科學領域中都具有很高的重要性,包括全球CO 2交換,工業水處理儲能以及貝殼和骨骼的形成。在工業上碳酸鈣也用于生產水泥,玻璃,油漆,塑料,橡膠,陶瓷和鋼鐵,也是煉油和鐵礦石提純的關鍵材料。
由于特殊的表面及量子物理性能,納米材料技術受到廣泛關注。納米級的碳酸鈣由于其在精細化工領域有廣泛的應用而尤以為甚。
納米碳酸鈣具有超細、超純的特點,廣泛應用于橡膠、塑料、造紙、化學建材、油墨、涂料、密封膠與膠粘劑等行業。以涂料行業為例,針對涂料中使用填料和骨料的特點,相較于傳統的立德粉和鈦白粉,專用紡錘形納米碳酸鈣的粒子非常細小,與水完全潤濕,易于研磨和分散,有極強的吸附力,表面涂層光滑、色彩艷麗質感好,可取代市場價格昂貴且不穩定的鈦白粉。尤其在一些特殊填料的高級納米涂料配方調制中,可以降低基料粘合劑的用量,來降低成本,提高產品技術含量,開發和生產出更綠色環保的功能性涂料,獲得經濟效益。
由于市場的需求量,目前,碳酸鈣的合成工藝主要由二氧化碳和氫氧化鈣的沉淀反應來制得。然而,這一工藝的合成過程中,分散、混合和傳質問題的研究一直存在不足。
二氧化碳和氫氧化鈣的沉淀反應是個非??斓姆磻?/span>,因此,如何更好地溶解二氧化碳氣體,就要求較高的混合及傳質效果。近年來,微反應器技術的興起引發了科學及工業界極大的興趣。研究中也通過不同的微通道設計以及工藝過程的優化很大程度上展現了在傳質上的優勢。
在碳酸鈣的沉淀過程中,過飽和比被定義為:

[Ca2+]為鈣離子濃度,[CO32-]為碳酸離子濃度,Ksp為溶解的碳酸鈣。
生成納米顆粒必須要很高的過飽和值,所以從公式中可以看出,[Ca2+]和[CO32-]的數值也要大。
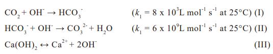
該反應的反應機理:


從動力學角度來分析,碳酸氫根離子的生成和碳酸離子的生成都是快反應,氫氧化鈣也很容易分解,所以,體系中的鈣離子濃度是可以保證的。盡管整個反應過程非常之快,但是二氧化碳從氣相到液相之間的傳質是一個慢過程,混合過程決定了碳酸離子的濃度。所以,過飽和值主要由二氧化碳的傳質效率來決定。所以,相與相之間的混合以及二氧化碳的傳質對于納米碳酸鈣的制備非常關鍵,控制好傳質就能控制好納米顆粒度的大小范圍。
有文獻報道,有用微孔濾膜(https://doi.org/10.1016/j.cep.2014.03.006)等方法進行納米碳酸鈣合成的成功案例,由于傳質和混合效率的加強,可以將納米顆粒的大小控制得非常好。研究表明,隨著二氧化碳通量密度的增加,生成的碳酸鈣的顆粒度大小隨之減小。與傳統的釜式反應相比較,通過有微孔結構的反應器可以顯著加強混合效果。通過調整和嘗試不同的體系流速,增加在微通道結構中流體的速度,從而大大減小分散相過程中的幾何級數,縮短傳質距離,在一定范圍內強化傳質效果。

微反應器由于其連續模式和傳熱/質傳遞效率而顯著地促進了先進納米材料的合成和研究。有文獻報道,使用分段流微反應器(SMFR)控制碳酸鈣沉淀的方法,可以實現晶體尺寸和尺寸分布的極佳定義??梢愿鶕磻獥l件和所用的液滴量沉淀出純方解石、純球ate石、方解石和球ate石的混合物。(https://doi.org/10.1063/1.3683162)
對于納米碳酸鈣的合成,可以將事先配好的氫氧化鈣懸浮液泵入反應器,同時將二氧化碳氣體進料,連續流微通道反應器可以以優于傳統釜式100倍的傳質效率來強化二氧化碳氣體在相之間的傳質與混合,達到非常好的體系過飽和值,從而更精準地控制納米顆粒的大小和粒徑分布,提高產品的純度。靈活的模塊化設計,可以快速對反應的停留時間、進料速度、PH值等參數的調節,來獲取不同的工藝參數,達到不同的工藝效果。
微反應器通道結構對液液、氣液及氣液固等非均相體系有絕佳的混合效果,可以進行精準進料。和傳統的微通道反應器相比,由于通道尺寸多在微米級,在納米材料的合成工藝過程中,容易形成堵塞。而微通道反應器的通道尺寸在毫米級,可以處理粒徑大小<500微米的顆粒物,通道結構平滑,無死體積,使得其在納米材料合成領域大有作為。
隨著技術的發展,分段流反應器(SMFR)被進一步開發和改進以用于更嚴格和復雜的納米材料合成。引入了外部功能,例如微波和紫外線(UV)輻射,電壓和振蕩,以促進精確的能量輸入或控制SMFR中的混合。

MICROFLUTECH所發布的新聞資訊只作為知識提供,僅供各位業內人士參考和交流,不對其精確性及完整性做出保證。您不應以此取代自己的獨立判斷,因此任何信息所生之風險應自行承擔,與MICROFLUTECH無關。如有侵權,請聯系我們刪除!