連續流動模式下光化學反應的可擴展性
在過去的十年中,連續流光化學作為一個領域已經在學術界和工業界得到越來越多的普及。此發展的關鍵驅動力是安全性,實用性以及快速復雜化學結構的能力。連續流反應器,無論是自制的還是商業供應商的,都可以以可重現和自動化的方式生成有價值的目標化合物。近年來,新型節能LED燈的出現與創新的反應器設計相結合,為提高現代光化學流反應器的實用性和生產率提供了強有力的手段。

在流動模式下進行有效的光化學轉化的關鍵特征是能夠均勻地照射通過窄徑管或微通道連續泵送的底物溶液。更高的時空控制還可以輕松地將過度輻射的影響降到最低,因為原則上每個分子在流動反應器的輻射區域內停留的時間相同,可以在流動模式下以高精度進行控制。方便的溫度控制和多種可用的光源(紫外線和可見光),都可以輕松進行光化學反應。在光-氧化還原催化領域的重要進展,合成化學家可以在直接照射的反應和現代的光催化反應之間進行選擇。
在任何光化學反應過程中要考慮的一個關鍵參數是光穿透的參數。光被反應介質吸收,并且該光衰減取決于比爾-朗伯定律(圖1)所指示的反應器的輻照尺寸 。隨著反應器尺寸的增加,路徑長度(與光源的距離)也隨之增加,從而導致照射不均勻。這通常是按批處理模式擴大光化學反應的關鍵問題之一,但是類似的流動過程通過小型化策略克服了這個問題,從而縮短了路徑長度。
 
 
圖1通過反應堆容器的光的衰減(透射率和吸收率)
盡管有時流動化學應用于該反應并不一定不能提高所有反應收率,但有時與類似的間歇式反應器相比,反應時間短得多,生產率更高。已經開發設計用于連續處理的各種新的光催化商業系統。
Collins小組證明了連續流動對擴大光氧化還原過程的適用性,該小組報告了通過C(sp)-S鍵的形成合成炔基硫6(圖2)。炔基溴化物5和硫醇4的偶聯是使用4CzIPN(基于有機咔唑的敏化劑)和鎳共同催化的體系進行的。盡管該反應可以小批量(0.24 mmol)成功地分批成功進行,并具有優異的收率(92%),但4 h的長時間反應是不利的。使用連續流系統可大大縮短30分鐘的反應時間,同時保持高收率。
 
 
圖2炔基硫醚的連續流式合成
最近,Kappe小組研究了流動化學對提高該反應的可擴展性的適用性。仔細優化反應條件發現正確選擇光源至關重要,與使用較弱的8 W紫外線燈相比,使用市售的中壓汞燈(帶有適當的濾光片)可觀察到產率的提高。在303 nm 與批次相比,正確的光源的使用使研究人員能夠以高收率(> 95%)合成所需的環丁烯內酯8,與批次相比,反應時間大大縮短(停留時間為20分鐘,批次為24小時)。為了擴大流程規模,使用了市售的Vapourtec UV-150反應器(10 mL)。當試圖通過使反應器運行8小時來擴大工藝規模時,由于不溶性聚合物材料的形成,觀察到明顯的反應器結垢,通過將反應溫度從50°C降低到10°C可以解決此問題,但是仍然觀察到每小時轉化率降低2.3%。盡管如此,連續流動裝置在8小時的運行中仍實現了144 mg / h(約3.5 g /天)的生產率,大大高于以前報道的分批反應(14-21 mg / h,336-504 mg /天)。 )
在光化學反應期間通常出現的一個問題是底物或所得反應產物的過度輻射。這可能導致發生各種副反應,通常是分批不可避免的。連續流中的時空處理所提供的優勢通常消除了此問題,從而可以更大規模地進行敏感反應。
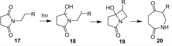
通常大多數反應必須重新優化以從批料轉移到流動。這通常會導致浪費時間來尋找最佳流速以獲得足夠高的產量。最近,Booker-Milburn小組進行了一項研究,試圖糾正這一問題。據報道,通過基于批處理參數計算流速,可以簡化優化的批處理條件向流量的轉移。這將有助于減少開發時間,因為可以輕松實時地監控反應,而無需額外昂貴的設備,因此可以更快速地批量優化反應。為了驗證該假設,將各種反應從批處理轉移到連續流。在這些是的photorearrangement ?取代的琥珀酰亞胺17到酮-己內酰胺20(圖3)。
 
 
圖3 N-取代的琥珀酰亞胺的光重排
盡管使用連續流裝置不會導致反應效率的提高,但是由于存在多個燈,因此有可能增加反應器功率,因此它確實允許規模擴大。但是,應注意,該結論只能針對調查中包含的反應得出,因為光催化途徑由于其復雜性的增加而可能表現出不同的行為。
Kappe小組最近報告了一種可擴展的方法,用于將乙烯光化學[2 + 2]-環加成成環酸酐。與中壓或低壓汞燈相比,LED的優勢在于效率更高,發熱量更少。此外,它們可用于發射特定的近單色波長,但是通常將它們限制為更長的波長(> 350 nm)。通常,對于某些反應,使用更長的波長需要光敏劑的存在,以促進能量轉移。Kappe小組的這項研究強調了選擇正確的光敏劑的重要性,并發現噻噸酮(31)是檸康酸酐(30)與乙烯反應生成相應的環丁烷32的理想選擇。
![連續流微通道反應器生產廠家 乙烯的光化學[2 + 2]-環加成](../upload/202105/1621400672454491.png) 
 
圖4乙烯的光化學[2 + 2]-環加成
在過去的五年之前,鮮有關于連續流進行公斤級光化學過程的報道.近年來這種情況已得到糾正,這主要是由創新型光化學反應器的發展推動的。盡管流動光化學相對于批次光化學具有多種優勢,但兩種方法都可以協同使用。Batch通過常規實驗室方法(例如TLC和HPLC)提供了簡單實時分析的優勢,為過程提供了強大的洞察力。這樣可以相對快速地進行小規模條件的篩選,由于在連續流動中執行類似的反應監控所需的分析設備成本過高,因此在流動中可能無法實現。另外,可以輕松地將各種光化學過程按比例放大。此外,很明顯,通過使用連續流技術,可以更輕松地實現實用的可伸縮性。 使用小尺寸反應器以千克規模提供了各種示例,其中等效的分批過程將需要非常大的容器和光源。 除了連續流反應器設計的進步外,高功率近單色光源可用性的提高還導致光化學在較大規模上的采用增加。
以前,這種規??赡軆H限于相對簡單的反應,例如光環化或氧化,但是,最近的報道已擴展到更復雜的過程,例如光氧化還原催化。由于整個審查中討論的不同反應器設計的可用性,預計反應范圍的這種擴大只會繼續。盡管通常仍然需要對反應進行重新優化的一些要求,但是使用更大的反應器或并聯或串聯的幾個模塊化反應器提出了一種有吸引力的策略,以減輕因更大的反應器的流體力學差異而引起的問題。
全文請查閱:
Donnelly, K., Baumann, M. Scalability of photochemical reactions in continuous flow mode. J Flow Chem (2021). https://doi.org/10.1007/s41981-021-00168-z
MICROFLUTECH所發布的新聞資訊只作為知識提供,僅供各位業內人士參考和交流,不對其精確性及完整性做出保證。您不應以此取代自己的獨立判斷,因此任何信息所生之風險應自行承擔,與MICROFLUTECH無關。如有侵權,請聯系我們刪除!