2,4—二氯苯酚
2,4—二氯苯酚簡介
2,4—二氯苯酚產品用途:2,4—二氯苯酚是重要的有機中間體,在農藥工業上主要用于生產殺蟲劑酚線磷與除草劑惡草酮、甲酯除草醚、2,4—二氯苯氧系列酸(如乙酸、丙酸、丁酸)及其酯;在醫藥工業上用于生產驅蟲藥硫雙二氯酚;在助劑工業上用于生產防霉劑TCS。近幾年來國內外對2,4—二氯苯酚的下游產品開發力度加大,2,4—二氯苯酚產品呈現供不應求的局面。
2,4—二氯苯酚現有工藝及問題:目前世界上2,4—二氯苯酚的工業生產方法主要有苯酚直接氯化法、混合酚氯化法、鄰氯苯酚選擇氯化法、對氯苯酚催化氯化法和苯酚催化氯化法5種。其中苯酚直接氯化法是國內使用最多的生產工藝,相對其他方法具有工藝簡單、成本低等特點。此方法先將苯酚注入到帶搪瓷的反應器中,然后不間斷的通入2倍苯酚量的氯氣,反應時間60小時左右,得到2,4—二氯苯酚的純度約為90%,經過堿洗工序后純度為96%左右,此工藝存在的問題是:裝置成本和人工成本較高,反應周期長,而且副產的2,6—二氯苯酚與2,4—二氯苯酚物性很接近而難以分離導致無法生產高純度的2,4—二氯苯酚產品。
可采用技術及特點:本技術采用降膜微結構反應器,以苯酚/四氯化碳溶液和氯氣為原料氯化制備2,4-二氯苯酚,僅需10分鐘左右就能使產品收率達到80%以上。目前僅為初步的研究結果。
三相液體連續流技術實現對2,4-二氯苯酚的高效催化氫化脫氯反應
2,4-二氯苯酚(2,4-DCP)是生產除草劑、藥物和染料的常用原料。其每年釋放到環境中的量是相當大的(約9噸/年),又因為其高生物毒性極低的自然降解速率。因此,探討對其的清除治理方法,是尤為重要的。其中,催化脫氯(HDC)是一種有效的清除方法,利用H?在催化劑的作用下斷裂C-Cl鍵進從而達到降解的目的,該反應中一般使用碳或者氧化鋁負載的鈀催化劑,效果較好。
用實用的視角去看2,4-二氯苯酚的處理問題,連續流模式的脫氯反應工藝無疑是優選的,因為其可以在產生更少廢物的同時達到更好的經濟收益。前人對于氯酚的脫氯反應的研究更多的是基于氣相連續流法,然而這種方法往往需要較高的溫度(T≥473K)、壓力(高達250atm)與大大過量的H?(400-1200倍)。因此氣相方法肯定是不夠節能高效的。而開發新的能夠在液相中進行的連續流2,4-二氯苯酚脫氯方法,可以有效的解決上述問題。
連續流方案
Heriot-Watt University的Mark A. Keane等人2011年在Chemical Engineering Journal(doi:10.1016/j.cej.2010.07.032)雜志上發表了他們利用連續流反應大量處理2,4-DCP的技術,并與釜式反應進行了性能比較。

圖1. 2,4-二氯苯酚脫氯反應的釜式反應裝置(a)與連續流(COFLORE ACR?)反應器(b)。圖片來源:Chem. Eng. J.
釜式反應裝置與連續流反應器如圖1所示,作者首先考察了兩種方法對于氫氣的利用率,在這種三相體系反應中,氫氣在各相中的擴散效果決定了反應的效率。作者首先通過改變氫氣的鼓入速率,反應16分鐘后,觀察反應的脫氯效果(如圖2所示)。可以發現,在連續流反應中,達到飽和脫氯分數0.13時的氫氣鼓入速率為30 cm3min-1,這個速率僅僅為釜式反應中達到飽和脫氯分數的氫氣速率(150 cm3min-1)的五分之一。同時可以發現,當兩種方法不攪拌的狀態下,釜式反應基本不會進行,而連續流反應中仍然具有一定的脫氯能力(脫氯分數為0.05)。這說明了連續流反應極大的增加了脫氯反應中氫氣的擴散效果。同時,作者從結果確定了兩種反應的最優攪拌速度,釜式反應為每分鐘1100轉,連續流反應的震速為每分鐘29轉。

圖2. 兩種方法下脫氯效果與H2流速和轉速的關系。圖片來源:Chem. Eng. J.
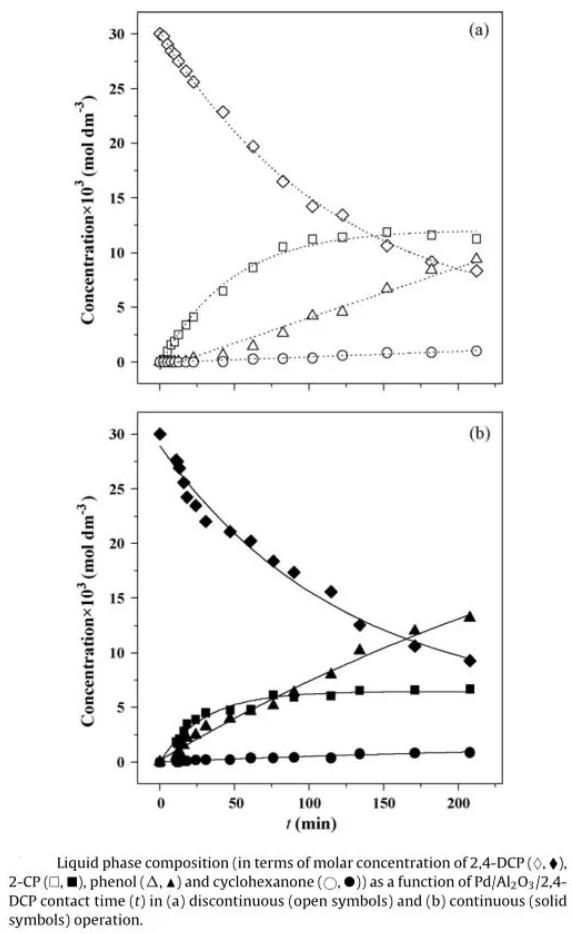
其次,作者在最優條件下比較了兩種反應方法的反應速率以及產物選擇性。圖3中可知,隨著反應時間的增長,兩種反應的轉化率均進一步升高。在pH控制在12的情況下,明顯看出連續流反應的脫氯速率快于釜式反應的反應速率。

圖3. 兩種方法下脫氯的脫氯速率比較 圖片來源:Chem. Eng. J.
由于2,4-二氯苯酚結構中兩個氯的位阻不同,因此對于兩個氯原子的脫除速率就不相同。同時,脫氯終產物苯酚可以進一步催化加氫得到環己酮(如圖4所示)。因此,脫氯的選擇性決定了反應最終的效果。可以看出,當轉化相同量的原料時,釜式反應的2-CP的剩余量要比連續流反應2-CP剩余量多,而苯酚的含量則比連續流反應下的苯酚含量要少,這說明了連續流反應對原料的脫氯反應進行的更加徹底,反應效果更加理想。

圖4 脫氯反應的機理以及在兩種方法中脫氯反應的產物選擇效果。圖片來源:Chem. Eng. J.
最后,作者比較了兩種方法下催化劑的使用壽命。由于脫氯反應產生的HCl副產物容易導致催化劑的分解、中毒、燒結或是炭化。因此,長時間多次反應會降低催化劑的使用活性。作者比較了10次重復脫氯反應中兩種方法的催化劑保留活性(如圖5所示)。可以看到,在進行了多次反應后,連續流反應的脫氯率保持在釜式反應的5倍。這說明了連續流技術有助于保持催化劑活性,這與連續流反應可以更好的移除HCl有關。

圖5. 兩種方法下催化劑的保留活性比較。圖片來源:Chem. Eng. J.
實驗結論
1. 作者利用連續流技術,高效的實現了三相體系(1 atm H?, pH=12 的2,4-二氯苯酚水溶液以及Pd/Al2O3固相催化)下的高效催化氫化脫氯反應。
2. 在該反應中,連續流技術利用H?的效率是釜式反應的5倍。
3. 連續流技術的脫氯速度快于釜式反應速率,并且對于2,4-二氯苯酚,連續流脫氯反應進行得更徹底。
4. HCl的存在容易導致催化劑中毒,連續流技術的應用有利于HCl的移除,進而有助于保持催化劑活性。
5. 該工作體現了連續流動Coflore ACR?連續多級攪拌反應器中氯代芳烴催化氫化脫氯反應的可行性,有充分的工藝放大與工業生產的應用前景。
參考文獻:Chemical Engineering Journal 166 (2011) 1044–1051
MICROFLUTECH所發布的新聞資訊只作為知識提供,僅供各位業內人士參考和交流,不對其精確性及完整性做出保證。您不應以此取代自己的獨立判斷,因此任何信息所生之風險應自行承擔,與MICROFLUTECH無關。如有侵權,請聯系我們刪除!