邁克爾(Michael)加成反應
2021-06-01 16:52:58

邁克爾(Michael)加成反應經典意義上指烯醇化的碳負離子(enolates)或者其它穩定的碳負離子類親核試劑,如有機銅鋰試劑等對α,β-不飽和酮、醛、腈,硝基化合物及羥酸衍生物的1,4-加成繼而形成新的碳-碳鍵的反應。邁克爾加成反應是以對該反應做出貢獻的美國科學家Arthur Michael命名的。亦稱共輒加成反應,是親核物種對α ,β -不飽和體系進行的1,4-加成反應。
Michael加成是共輒加成或1 ,4-加成反應,是迄今為止最為廣泛應用的碳-碳鍵形成方法之一。時至今日,文獻中已常見氮雜邁克爾加成,氧雜邁克爾加成,雜原子邁克爾加成等擴展使用“邁克爾加成”的趨勢,而雙鍵或參鍵與吸電子基團共輒的α,β-不飽系統常被稱為邁克爾受體。
邁克爾加成(Michael reaction)是最有價值的有機合成反應之一,是構筑碳-碳鍵的最常用方法之一。著名的羅賓遜環合反應其實是邁克爾加成與羥醛縮合的串聯過程。今天的化學家已發展了多種有機小分子催化的不對稱邁克爾加成反應,最具代表性的是手性脯氨酸(L-Proline)及其衍生物催化共扼加成的工作。
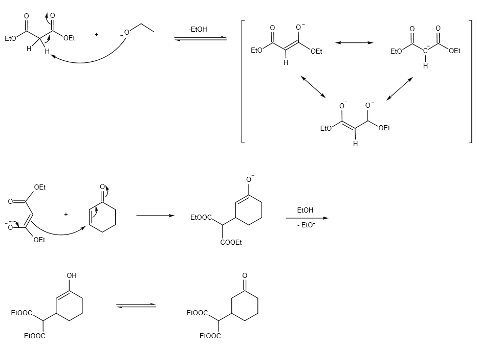
反應機理
邁克爾加成是一個可逆反應,在加熱條件下用堿處理,產物可以發生分解。
